INTRODUCCIÓN
En la aplasia cutánea congénita áreas más o menos extensas de piel están ausentes en el nacimiento. Hoy se sabe que es un hallazgo clínico que puede tener múltiples causas. Es una entidad poco frecuente, aunque no rara, habiendo más de 500 casos descritos en la literatura. Cordon en 1767 publicó el primer caso localizado en miembros inferiores (1), y Campbell en 1826 el primero con afectación de cuero cabelludo (2). La mayoría de los casos son esporádicos, aunque están descritos casos familiares. Por otra parte, la aplasia cutánea puede encontrarse asociada a otros trastornos, siendo en estos casos una manifestación más dentro de síndromes más complejos.
Hemos tenido la oportunidad de ver un caso de aplasia cutánea congénita localizada en cuero cabelludo en una niña de 3 meses de edad con tres miembros de su familia afectos.
DESCRIPCIÓN DEL CASO
Una niña de 3 meses de edad nos fue remitida desde Ciudad Real por una ulceración en el cuero cabelludo presente desde el nacimiento (Fig. 1). El embarazo había sido controlado, con serologías para toxoplasmosis, VIH y VHB negativas y serología para rubéola inmune. Durante el mismo, la madre había recibido tratamiento con calcio (Calcinatal®) y con un fármaco para la circulación (extracto de Meliotus officinalis, Esberiven®). El parto fue por cesárea a las 41 semanas y media por desproporción cefalopélvica. No hubo rotura prematura de membranas y el Apgar al nacer fue de 8 y 9.
FIG. 1.--Lesión ulcerada a lo largo de la sutura sagital cubierta por una costra necrótica.
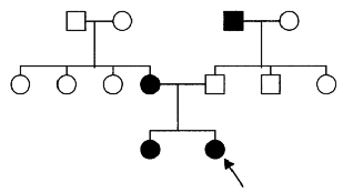
Entre sus antecedentes familiares la madre, de 28 años, presentaba cinco placas de alopecia resultado de unas úlceras con las que nació (Fig. 2). El padre de la niña, de 32 años, no tenía lesiones. Tenían otra hija de 2 años de edad que también había tenido dos áreas de ausencia de piel al nacer que habían cerrado a los pocos meses, dejando alopecia residual. Según los padres, el abuelo paterno también tenía antecedentes de dos lesiones compatibles con aplasia cutánea en el cuero cabelludo, aunque no nos fue posible explorarle. Los padres no eran consanguíneos y ambas familias eran originarias del mismo pueblo de Ciudad Real (Fig. 3).
FIG. 2.--Madre de nuestra paciente. Se observan dos lesiones de alopecia cicatricial en vértex.
FIG. 3.--Árbol genealógico. Señalamos a nuestra paciente con una flecha.
En la exploración física la niña, que mostraba buen estado general, presentaba una ulceración alargada en el cuero cabelludo, de unos 10 cm de longitud, que cruzaba desde el vértex, a lo largo de la sutura sagital, hasta casi llegar a la fontanela anterior. Los bordes eran eritematosos y una escara negruzca ocupaba gran parte del fondo de la lesión (Fig. 1). No presentaba ninguna otra anomalía ni de la piel ni de los miembros. La madre tenía cinco lesiones alopécicas, de pequeño tamaño, de aspecto cicatricial, agrupadas alrededor del vértex (Fig. 2). No fue posible examinar a los demás miembros de la familia.
Se realizó un sistemático de sangre y una bioquímica, que fueron normales, así como una TAC encefálica que no mostró ninguna anomalía ósea ni vascular subyacente. Por ello se decidió, pese al tamaño de la lesión, tratamiento conservador con curas locales con antibióticos tópicos, cerrando la lesión de forma progresiva en varios meses, hasta dejar un área de alopecia residual.
DISCUSIÓN
La aplasia cutánea congénita es un hallazgo clínico que puede encontrarse de forma aislada o formando parte de otros síndromes o trastornos (3, 4). Está presente en el nacimiento, la mayoría de las veces como una o varias lesiones ulceradas con distinto grado de cicatrización, incluso cerradas por completo en el caso de pequeños defectos, que pueden pasar inadvertidos si no se hace una búsqueda dirigida. A lo largo de la historia ha sido motivo de diversos problemas médico-legales, al ser consideradas estas lesiones como secundarias a intervenciones traumáticas durante el parto.
La localización más frecuente es el cuero cabelludo hasta en un 86% de los casos, de los cuales el 70-75% son lesiones únicas, el 20% dobles y el 8% presentan tres o más lesiones (5). En un 20-30% hay defectos asociados de los huesos del cráneo (6). Cuando se localiza en el tronco o en las extremidades suelen ser defectos múltiples y simétricos.
La mortalidad es del 20% y las causas más frecuentes son las hemorragias masivas --sobre todo si hay comunicaciones arteriovenosas (7) entre el defecto y el seno sagital--, la infección y las malformaciones que en algunos casos se asocian (8).
La aplasia cutánea se puede encontrar en el seno de otros trastornos y se han propuesto varias clasificaciones. La más completa es la de Frieden de 1986 (9), que la divide en nueve grupos dependiendo de la localización, del modo de herencia y de las malformaciones asociadas (tabla I). Así hay casos en los que se encuentra de forma aislada con transmisión familiar (10-12); casos con alteraciones en los miembros (13-15); otros en los que se asocia a la presencia de un nevo epidérmico, sobre onfaloceles, meningoceles y otros defectos del cierre del tubo neural (16, 17); casos de aplasia cutánea en los que se aprecia la presencia de un feto papiráceo o infartos placentarios (18-20), como manifestación inicial de varios tipos de epidermolisis bullosa (21), en probable relación con teratógenos (22, 23), y otros en los que las lesiones de aplasia cutánea constituyen un defecto menor en el contexto de síndromes polimalformativos (24).
La mayoría de los autores están de acuerdo en que no hay una sola causa subyacente a los distintos tipos de aplasia cutánea, y se proponen las siguientes: a) adherencias del amnios o bandas amnióticas, sobre todo para las localizadas en los miembros; b) traumas intrauterinos, en los casos asociados a epidermólisis bullosa; c) alteraciones de la vascularización en la placenta o en áreas de la piel, que producirían un compromiso del desarrollo de la piel y de los miembros (25); d) factores genéticos; e) teratógenos; f) defectos del cierre o fusión de capas embriológicas, y g) acción de fuerzas tensiles durante el rápido crecimiento del cerebro y de los miembros.
Por tanto ante un caso de aplasia cutánea congénita hay que recoger una completa historia familiar de defectos de la piel o de los miembros, del embarazo; explorar en busca de otras anomalías con especial atención a las estructuras ectodérmicas y realizar pruebas de imagen, cultivos, cariotipo y biopsia si se sospecha la presencia de un trastorno de base (26). En cuanto al tratamiento, se acepta que debe ser conservador, salvo que haya defectos óseos o vasculares subyacentes, y proceder más adelante a cirugía reparadora con fines estéticos si así lo requiere el paciente (27, 28).
Nuestra paciente corresponde a una aplasia cutánea de localización en el cuero cabelludo, sin otras anomalías asociadas, con otros tres miembros de su familia afectos, lo que parece corresponder a una herencia autosómica dominante y que se encuadraría en el grupo 1 de la clasificación de Frieden. No pudimos explorar al abuelo paterno de la paciente y objetivar así que las lesiones que presentaba fueran también de aplasia cutánea. Al provenir ambas familias del mismo pueblo podría explicarse esta coincidencia con la posibilidad de que existiera consanguinidad en generaciones anteriores.
La escasez de casos familiares en tres generaciones diferentes nos ha llevado a su publicación.










 
 
		
