Hidradenitis suppurativa (HS) is a chronic inflammatory skin disease that is difficult to manage, requiring the use of biologic drugs such as anti-TNFα and anti-interleukin 17 (anti-IL17). The aim of our review is to evaluate the safety and efficacy profile of anti-IL17 drugs in patients with HS.
Materials and methodsWe conducted a systematic review with subsequent meta-analysis following the population, intervention, comparison, outcome and type of study (PICOS) method. We included only randomized clinical trials with placebo (S) that included individuals with HS ≥18 years old (P), and who had been on placebo (C) OR, an anti-IL17 biologic drug (I) to measure safety and efficacy outcomes (O). Search was conducted across multiple databases: PubMed, Scopus, and the Cochrane Central Register of Controlled Trials. The risk of bias of each study, publication bias, sensitivity analysis, and certainty of evidence were determined.
ResultsA total of 320 bibliographic references were obtained, 4 of which met the inclusion criteria. Compared to placebo, the meta-analysis showed a significantly higher percentage of patients achieving Hidradenitis Suppurativa Clinical Response (HiSCR) OR, of 1.96 [1.79–2.15], a greater decrease in DLQI, MD −1.92 [−2.68,−1.16] and an increase in adverse effects; OR, 1.21 [1.09, 1.34], particularly due to Candida infections; OR, 5.61 [2.66–11.83].
ConclusionsTreatment with anti-IL17 biologic drugs is effective in patients with moderate-to-severe HS. Although these drugs are safe, they should be monitored due to the risk of infections, mainly candidiasis.
La hidradenitis supurativa (HS) es una enfermedad inflamatoria crónica de la piel que puede requerir el uso de fármacos biológicos como los anti-TNFα y los anti-interleucina 17 (anti-IL17). El objetivo de nuestra revisión es evaluar la eficacia y seguridad de los fármacos anti-IL17 en pacientes con HS.
Material y métodosSe realizó una revisión sistemática con posterior, metaanálisis siguiendo el método de población, intervención, comparación, resultado y tipo de estudio (PICOS). Se incluyeron únicamente ensayos clínicos aleatorizados con placebo (S) que incluyeran individuos con HS ≥ a 18 años de edad (P), que hubieran recibido placebo (C) o un fármaco biológico anti-IL17 (I) para medir los resultados de eficacia y seguridad (O). La búsqueda se realizó en: PubMed, Scopus y el Registro Cochrane Central de Ensayos Controlados (Cochrane Central Register of Controlled Trials). Se determinó el riesgo de sesgo de cada estudio, el sesgo de publicación, el análisis de sensibilidad y la certeza de la evidencia.
ResultadosSe obtuvo un total de 320 referencias bibliográficas, cuatro cumplieron los criterios de inclusión. El metaanálisis mostró de forma significativa un mayor, porcentaje de pacientes que alcanzaban el Hidradenitis Suppurativa Clinical Response (HiSCR) OR, 1,96 [1,79-2,15], una mayor, disminución del DLQI, Diferencia media de -1,92 [-2,68,-1,16] y un aumento de los efectos adversos (OR, 1,21 [1,09, 1,34]), especialmente por, infecciones por, Cándida, OR, 5,61 [2,66-11,83].
ConclusionesEl tratamiento con fármacos biológicos anti-IL17 es eficaz en el manejo de pacientes con HS moderada-grave. Aunque estos fármacos son seguros, deben ser monitorizados debido al riesgo de infecciones, principalmente candidiasis.
Hidradenitis suppurativa (HS) is a chronic inflammatory disease of the pilosebaceous-apocrine unit. It occurs in outbreaks of erythematous nodules, abscesses and tunnels mainly in the axillary, submammary, inguinal and anogenital areas. This disease is accompanied by pain and a very intense affectation of the quality of life.1,2
Although the exact prevalence is still unknown, it is estimated to be around 0.4% worldwide,2 with an annual incidence rate of 6 cases per 100,000 inhabitants.3 It is considered an under-diagnosed entity.4
Among therapeutic tools5 are topical and intralesional therapies,6 systemic antibiotic treatments, surgical procedures, and more recently, biologic treatments have been included, being adalimumab the first biologic drug with an indication for the treatment of HS, having proven superior, to placebo in moderate-to-severe HS.5,7
Although the pathophysiology of HS is not fully elucidated, an interaction between innate immunity, via the inflammasome pathway, and adaptive immunity via the Th1 and Th17 pathways, with increased interleukin-17 (IL-17) and TNF-α, is assumed. Interestingly, higher levels of IL-17 have been found in the serum of patients with more severe HS.8
A previous systematic review from 2022 on anti-interleukin 17 (anti-IL17) treatments in the management of HS supported its efficacy profile and use as a therapeutic alternative in patients refractory to other treatments.9
Secukinumab and bimekizumab are 2 marketed anti-IL17 biologic drugs that currently have randomized clinical trials (RCTs) in HS demonstrating its efficacy profile.10–12 However meta-analyses including the most recent clinical trials, particularly those of bimekizumab,12 are lacking.
Therefore, due to the impact this disease has on the patients’ quality of life and need for, effective therapeutic tools, this systematic review and meta-analysis is justified to measure the safety and efficacy profile of treatment with anti-IL17 in HS.
MethodsEligibility criteriaThis meta-analysis was registered with PROSPERO (CRD42024538548). This study adhered to PRISMA guidelines13 (Supplementary file 1).
The research question was formulated according to the PICOS strategy:
- -
P (Population): Adult patients aged 18 years and older who had been diagnosed with HS.
- -
I (Intervention): Anti-interleukin 17 treatments.
- -
C (Comparator): Placebo therapy.
- -
O (Outcome): The primary outcome of interest was the safety and efficacy profile of anti-IL17 treatments in patients with HS. This included the metrics of Hidradenitis Suppurativa Clinical Response (HiSCR), including HIiSCR75 and HiSCR90, Dermatology Life Quality Index (DLQI) as a Patient-Reported Outcome Measure (PROM), the incidence rate of patients with adverse events, serious adverse events, headache, infections and infestations of any organs, candida infections, inflammatory bowel disease and treatment withdrawal.
- -
S (Study design): Only randomized placebo-controlled clinical trials were eligible for inclusion.
Exclusion criteria were applied to ensure the quality and comparability of the included studies. Observational studies, both case-control and cohort studies, were excluded. Systematic reviews and literature reviews were excluded too. Duplicates: Multiple reports on the same study were excluded to avoid duplication of data.
Information sourcesAn extensive literature review was conducted using multiple databases, including PubMed, Scopus, and the Cochrane Central Register of Controlled Trials from inception until June 9th, 2024 (Fig. 1). A systematic and rigorous methodology was used to search for relevant studies, without establishing a specific time OR, language limit. A thorough review of the bibliographic references of the selected studies in the first phase of the search was conducted to identify any additional studies that might have been omitted from the initial search.
Search methods for study identificationWe used the following search terms to search all trial registers and databases: (hidradenitis suppurativa OR, acne inversa) AND (IL-17 OR, IL17A OR, bimekizumab OR, secukinumab) (Supplementary file 2). Two reviewers (AO/ML) independently agreed on the selection of eligible studies and reached a consensus on the studies that should be included.
Data extraction and data itemsTwo authors (AO/ML) independently reviewed the data extracted from the studies. If consensus was not reached, a third author, (CM) was consulted to complete the data-extraction form. The following data were collected: baseline characteristics of the articles, author, and year of publication, study type, clinical trial identifier, study design, primary endpoint in weeks, severity, sample size, age, number of women, outcomes and conflicts of interest related to the pharmaceutical industry.
In RCTs involving more than one arm with an anti-IL17, each of them was analyzed separately.
One of the compared variables was the HiSCR, at 2, 4, 12 and 16 weeks. HiSCR is an endpoint regardless of lesion size, pain or impact on quality of life. It is defined as, at least, a 50% reduction in the total abscess and inflamatory nodules count with no increase in abscess count or draining tunnel count relative to baseline.14 Efficacy data were extracted at weeks 2 and 4 to assess speed, and efficacy data were extracted at weeks 12 and 16 since these were the endpoints of the studies. HiSCR75 and HiSCR90 values were also extracted if reported. As PROM, the mean change and its standard deviation of the DLQI was extracted if reported by the studies. For safety outcomes, comparisons could be drawn using the incidence rate of patients with adverse events, serious adverse events, headache, infections and infestations of any organs, candida infections, inflammatory bowel disease and treatment withdrawal.
Risk of biasThe methodological quality and risk of bias (RoB) of the included RCTs were independently evaluated by 2 reviewers using the Cochrane Collaboration's risk of bias tool (Review Manager software). This tool systematically assesses 6 key domains related to bias: random sequence generation, allocation concealment, blinding of participants and personnel, blinding of outcome assessment, incomplete outcome data, and selective reporting. For each domain, explicit prespecified criteria were used to assign ratings of low, high, or unclear RoB. The results of the RoB are shown in Fig. 2 and the justification for each criterion can be consulted in the Supplementary file 3.
Assessment of resultsMean differences (MD) and 95% confidence intervals (CI) were estimated for continuous variables measured on the same scale. Odds ratios (OR) were calculated for the dichotomous variables. Heterogeneity was assessed using the I2 statistic, with values<25%, 25–50%, and >50% indicating low, moderate, and high heterogeneity, respectively. A fixed-effects model was used when no significant heterogeneity was observed. Incomplete data reporting across studies was addressed following methodological guidance from the Cochrane Handbook.15 Review Manager 5.4 statistical software was used for all analyses. Web-PlotDigitizer version 4.7 was used to obtain information from the figures in the articles. A level of threshold of statistical significance was considered if P<0.05.
Publication biasFunnel plot analysis was conducted using Review Manager 5.4 software to assess potential reporting bias. Funnel plot asymmetry can suggest a publication bias arising from the non-publication of smaller studies with null or, inconclusive findings.
Additional analysesSubgroup analyses were performed based on follow-up time in case of HiSCR, specifically at 2, 4, 12 and 16 weeks, and based on different adverse event variables in the safety outcomes.
Due to interest in real-world clinical practice, the safety and efficacy data for bimekizumab and secukinumab have been analyzed separately.
Sensitivity analysis removing studies of non-commercialized drugs for each outcome and reanalyzing data was conducted using Review Manager 5.4 to assess the robustness of the results and evaluate the impact of excluding individual studies on the overall interpretations.
Grading of certainty of evidenceThe GRADE (Grading of Recommendations Assessment, Development, and Evaluation) approach, utilizing GRADEpro, was used to assess the certainty of the outcomes.16 GRADE evaluates the quality of evidence based on factors such as study design, RoB, inconsistency, indirectness, imprecision, and publication bias. Data used were those entered in Review Manager 5.4.
ResultsStudy selectionThe initial search yielded a total of 320 articles from databases. After removing duplicates and reviews based on titles and abstracts, a total of 256 articles were excluded, resulting in 64 articles. After reviewing the full texts, 60 studies were excluded for not meeting the inclusion criteria. Finally, 4 studies were included in the systematic review and meta-analysis10–12,17 (fig. 1).
Study characteristicsTable 1 illustrates the main characteristics of the included studies. Two articles reported on 2 different clinical trials each. Four articles with 2231 patients were included (1668 from the anti-IL17 group and 563 from the placebo group). All studies included were randomized placebo-controlled clinical trials. The number of women was generally higher compared with men in the studies. The patients’ mean age in the studies is shown in Table 1. The severity of HS in all studies was moderate-to-severe. Only data from the first period of the clinical trials were exported to avoid overall bias and period effect.
Baseline characteristics of the included studies.
| Author and year | Type of study | ClinicalTrials.gov identifier | Study design | Primary endpoint (week) | Severity | Anti-IL17 treatment | nAnti-IL17/placebo | Age (years), mean±SD anti-IL17/placebo | Female, n (%)Anti-IL17/placebo | Outcomes of efficacy | Outcomes of safety | Industrial COI |
|---|---|---|---|---|---|---|---|---|---|---|---|---|
| Glatt et al., 2021 | Randomized placebo-controlled clinical trials | NCT03248531 | Period 1: 12-week treatmentPeriod 2: 20 week safety follow-up period after the final treatment dose | 12 | Moderate to severe HS | Bimekizumab 320mg every other week | 46/21 | 37.4±11.9/40.7±12.8 | 30 (65)/14 (67) | HiSCR, HiSCR75, HiSCR90, IHS4, PtGA, DLQI | Incidence, types and severity of AEs during treatment, including clinical laboratory measurements | Yes |
| Kimball et al., 2022 | Randomized placebo-controlled clinical trials | NCT02421172 | Period 1: 16 weeksPeriod 2: 16 weeks followed by a 12-week treatment free follow-up period | 16 | Moderate to severe HS | JCM112 300mg (the first five doses were administered weekly, followed by injections every other week until week 16) | 33/33 | 36±9.8/39±10.9 | 22 (66.7)/22 (66.7) | HiSCR,HS-PGA responder rate, hsCRP, DLQI | Incidence, types and severity of AEs during treatment | Yes |
| Kimball et al., 2023 | Randomized placebo-controlled clinical trials | NCT03713619 (SUNSHINE) | Period 1: 16 weeksPeriod 2: from week 16 to week 52 | 16 | Moderate to severe HS | Secukinumab 300mg every other week;Secukinumab 300mg every 4 weeks | 181;180/180 | 37.1±12.5; 35.7±11.7/35.5±10.8 | 102 (56%); 100 (56%)/102 (57%) | HiSCR, NRS30, DLQI, EQ-5D VAS, AN50 | Incidence, types and severity of AEs during treatment, clinical laboratory measurements and immunogenicity | Yes |
| Randomized placebo-controlled clinical trials | NCT03713632 (SUNRISE) | 180;180/183 | 37.3±11.5; 35.5±11.4/36.2±11.3 | 98 (54%); 103 (57%)/105 (57%) | HiSCR, NRS30, DLQI, EQ-5D VAS, AN50 | Incidence, types and severity of AEs during treatment, clinical laboratory measurements and immunogenicity | ||||||
| Kimball et al., 2024 | Randomized placebo-controlled clinical trials | NCT04242446 (BE HEARD I) | Period 1: 16 weeksPeriod 2: from week 16 to week 48 | 16 | Moderate to severe HS | Bimekizumab 320mg every other week;Bimekizumab 320mg every 4 weeks | 289;144/72 | 36 (26–46); 35 (27–45)/33.5 (26–46)a | 176 (61%); 98 (68%)/44 (61%) | HiSCR, HiSCR75, HiSCR90, HiSCR100, DLQI, HSSDD | Incidence, types and severity of AEs during treatment, clinical laboratory measurements | Yes |
| Randomized placebo-controlled clinical trials | NCT04242498 (BE HEARD II) | 291;144/74 | 35 (27–45); 33 (26–42.5)/37 (28–47)a | 150 (52%); 77 (54%)/31 (42%) | HiSCR, HiSCR75, HiSCR90, HiSCR100, DLQI, HSSDD | Incidence, types and severity of AEs during treatment, clinical laboratory measurements | Yes |
AEs=Adverse events; AN50=proportion of patients with at least a 50% reduction in the abscess (A) and inflammatory nodule (N) count compared with baseline; COI=Conflict of Interest; DLQI=Dermatology Life Quality Index; EQ-5D VAS=EuroQol-5D visual analog scale; HiSCR=hidradenitis suppurativa clinical response, defined as a reduction in total abscess and inflammatory nodule count of at least 50% from baseline, with no increase from baseline in abscess and inflammatory nodule or draining tunnel count; HiSCR75=reduction in total abscess and inflammatory nodule count of at least 75% from baseline with no increase from baseline in abscess or draining tunnel count; HiSCR90=reduction in total abscess and inflammatory nodule count of at least 90% from baseline with no increase from baseline in abscess or draining tunnel count; HS=hidradenitis Suppurativa; HS-PGA=Hidradenitis Suppurativa Physician's Global Assessment; hsCRP=High-sensitivity C-reactive protein; HSSDD=hidradenitis suppurativa symptom daily diary; IHS4=International Hidradenitis Suppurativa Severity Score; NRS30=30% or more reduction and reduction of two units or more from baseline in Patient's Global Assessment of Skin Pain on a continuous numeric rating scale; PtGA=Patient's Global Assessment.
The RoB of the first period of each clinical trial was analyzed. The RoB results are shown in Fig. 2. In clinical trial NCT02421172, random sequence generation and allocation concealment were scored with “unclear risk of bias” since they were not detailed. It was marked as “high risk of bias” in blinding of outcome assessment because it was not reported. For the rest of the studies a low risk of bias was considered.
OutcomesTreatment with anti-IL17 in HS showed a higher percentage of patients achieving HiSCR significantly vs placebo (OR, 1.96 [1.79–2.15]). Analyzed by weeks, a higher percentage of patients achieved HiSCR from week 2 (OR, 1.90 [1.52–2.38]) to week 4 (OR, 2.15 [1.79–2.59]), week 12 (OR, 2.04 [1.72–2.42]) and week 16 (OR, 1.78 [1.51–2.11]) (Fig. 3). Regarding the HiSCR75 variable, treatment with anti-IL17 showed a significantly higher percentage (OR, 2.46 [1.77,3.43]) of patients achieving this response vs placebo, but not so much for the HiSCR90 variable (OR, 1.49 [1.00,2.21]) (Fig. 4). Regarding PROM, treatment with anti-IL17 showed a significantly greater decrease in DLQI (MD −1.92 [−2.68 to 1.16]) (Fig. 5).
Treatment with anti-IL17 showed a significant increase in adverse effects vs placebo; OR, 1.21 [1.09, 1.34]. No differences were found regarding the number of patients experiencing adverse events; OR, 1.02 [0.86–1.20]. There were no significant differences in serious adverse events (OR, 1.14 [0.68–1.92]), headache (OR, 1.17 [0.87–1.56]), development of inflammatory bowel disease (OR, 2.06 [0.50–8.48]) or in the rate of adverse event-related treatment withdrawal (OR, 1.90 [1.00–3.59]). Significant differences were found regarding a higher rate of infections and infestations of any organ (OR, 1.23 [1.03–1.46]) and Candida infections (OR, 5.61 [2.66–11.83]) with the use of anti-IL17 vs placebo (Table 2 and Supplementary file 4).
Results of the meta-analysis regarding the safety profile of the variables analyzed. Forest plots are shown in Supplementary file 5.
| Safety outcomes | n studies | n anti-IL17/placebo | Fixed effect model (OR, 95%CI) | I2 (%) | P value |
|---|---|---|---|---|---|
| Patients with adverse events | 10 | 1661/1072 | OR, 1.02, 95%CI, 0.86–1.20 | 0 | 0.84 |
| Serious adverse events | 9 | 1628/1039 | OR, 1.14, 95%CI, 0.68–1.92 | 0 | 0.63 |
| Headache | 10 | 1661/1072 | OR, 1.17, 95%CI, 0.87–1.56 | 0 | 0.30 |
| Infections and infestations of any organs | 10 | 1661/1072 | OR, 1.23, 95%CI, 1.03–1.46 | 46 | 0.02 |
| Candida infections | 9 | 1628/1039 | OR, 5.61, 95%CI, 2.66–11.83 | 0 | <0.00001 |
| Inflammatory bowel disease | 9 | 1628/1039 | OR, 2.06, 95%CI, 0.50–8.48 | 0 | 0.32 |
| Withdrawal of treatment due to adverse effects | 10 | 1661/1072 | OR, 1.90, 95%CI, 1.00–3.59 | 0 | 0.05 |
| Total | 11,528/7405 | OR, 1.21, 95%CI, 1.09–1.34 | 0% | 0.0004 |
CI: confidence interval; OR: odds ratio.
A separate analysis of the safety and efficacy results for bimekizumab and secukinumab is shown in Table 3 and Supplementary data 5. In terms of efficacy, the results of bimekizumab with respect to obtaining HiSCR show an OR>2 two weeks into therapy, with a total OR of 2.30 [1.98, 2.69], with respect to the total OR of secukinumab (1.83 [1.63, 2.06]), whose results are lower on the subanalyses conducted on weeks 2, 4, 12 and 16. However, regarding safety variables, secukinumab shows no difference with respect to placebo regarding the rate of adverse effects (OR, 1.04 [0.91, 1.19]), including candidiasis (2.22 [0.84, 5.87]) vs an increase in adverse effects vs placebo with the use of bimekizumab (OR, 1. 55 [1.30,1.85]), with significant differences being due to a greater increase in infections and infestations of any organ (OR, 1.96 [1.44–2.67]), mainly candidiasis (OR, 11.64 [3.25–41.68]), and treatment withdrawal due to adverse effects (OR, 3.35 [1.09–10.27]).
Efficacy and safety results of bimekizumab and secukinumab analyzed separately.
| Bimekizumab | Secukinumab | |||||
|---|---|---|---|---|---|---|
| n studies | OR, CI 95%a | P-value | n studies | OR, CI 95%a | P-value | |
| Efficacy outcomes | ||||||
| HiSCR week 2 | 5 | 2.62 [1.78, 3.86] | P<0.00001 | 4 | 1.59 [1.19, 2.14] | P=0.002 |
| HiSCR week 4 | 5 | 2.39 [1.75, 3.25] | P<0.00001 | 4 | 2.01 [1.59, 2.55] | P<0.00001 |
| HiSCR week 12 | 5 | 2.15 [1.63, 2.84] | P<0.00001 | 4 | 2.09 [1.68, 2.61] | P<0.00001 |
| HiSCR week 16 | 4 | 2.21 [1.67, 2.95] | P<0.00001 | 4 | 1.61 [1.30, 1.99] | P<0.0001 |
| TOTAL | 2.30 [1.98, 2.69] | P<0.00001 | 1.83 [1.63, 2.06] | P<0.00001 | ||
| Safety outcomes | ||||||
| Patients with adverse events | 5 | 1.06 [0.81, 1.38] | P=0.69 | 4 | 0.99 [0.80, 1.23] | P=0.92 |
| Serious adverse events | 5 | 2.39 [0.81, 7.03] | P=0.11 | 4 | 0.82 [0.44, 1.54] | P=0.54 |
| Headache | 5 | 0.85 [0.50, 1.43] | P=0.53 | 4 | 1.34 [0.94, 1.92] | P=0.11 |
| Infections and infestations of any organs | 5 | 1.96 [1.44, 2.67] | P<0.0001 | 4 | 0.95 [0.76, 1.19] | P=0.68 |
| Candida infections | 5 | 11.64 [3.25, 41.68] | P=0.0002 | 4 | 2.22 [0.84, 5.87] | P=0.11 |
| Inflammatory bowel disease | 5 | 1.59 [0.26, 9.64] | P=0.62 | 4 | 3.07 [0.32, 29.62] | P=0.33 |
| Withdrawal of treatment due to adverse effects | 5 | 3.35 [1.09, 10.27] | P=0.03 | 4 | 1.11 [0.47, 2.63] | P=0.81 |
| TOTAL | 1.55 [1.30, 1.85] | P<0.00001 | 1.04 [0.91, 1.19] | P=0.6 | ||
Sensitivity analyses were performed for HiSCR, DLQI and safety outcomes, excluding studies that included anti-IL17 treatments that were not commercially available. These analyses maintained the results previously reported. A higher percentage of patients achieved the HiSCR significantly with respect to placebo; OR, 2.00 [1.82–2.20]. Significance was maintained with respect to the PROM DLQI (MD −1.87 [−2.65,−1.09]) and to the safety profile of the variables analyzed; OR, 1.15 [1.03–1.29] (Supplementary file 6).
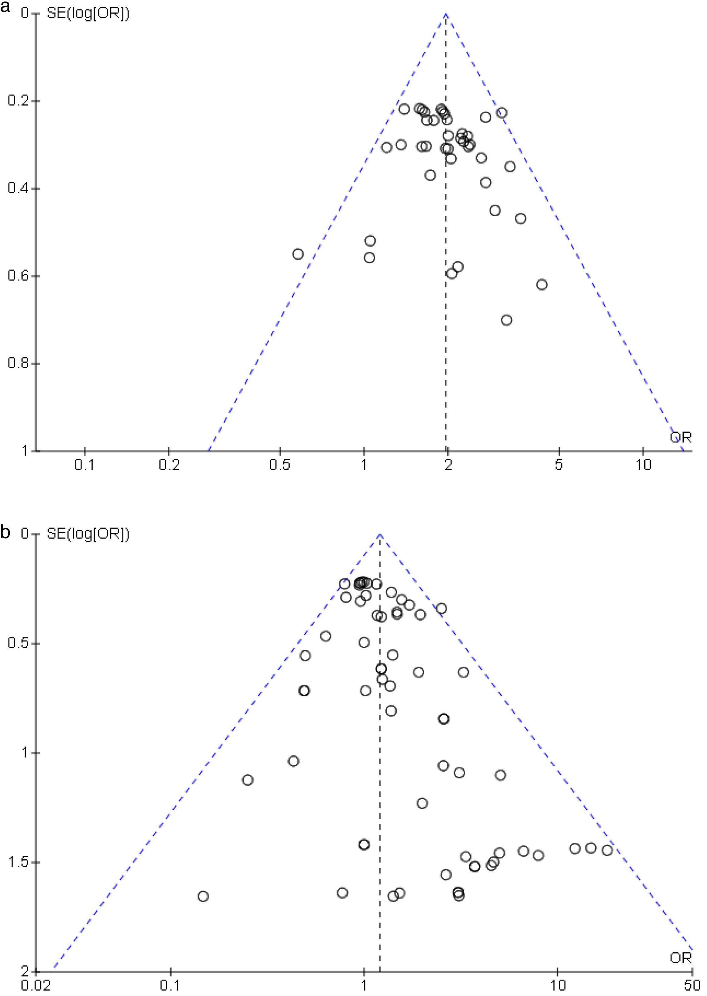
Publication biasPublication bias was assessed using funnel plots, which revealed symmetry consistent with low publication bias regarding efficacy (HiSCR) and safety results (Fig. 6).
GRADEData included in the meta-analysis were used to perform the GRADE. The GRADE scale showed high certainty regarding the results of the HiSCR, DLQI and safety outcomes (Table 4).
Certainty of evidence by GRADE.
| Certainty assessment | № of patients | Effect | Certainty | Importance | ||||||||
|---|---|---|---|---|---|---|---|---|---|---|---|---|
| № of studies | Study design | Risk of bias | Inconsistency | Indirectness | Imprecision | Other considerations | Anti-IL17 | Placebo | Relative (95% CI) | Absolute (95% CI) | ||
| Hidradenitis Suppurativa Clinical Response (follow-up: range 2 weeks to 16 weeks) | ||||||||||||
| 10 | Randomized trials | Not serious | Not serious | Not serious | Not serious | None | 2480/6608 (37.5%) | 991/4257 (23.3%) | OR 1.96 (1.79–2.15) | 14 more per 100 (from 12 more to 16 more) | ⊕⊕⊕⊕ High | CRITICAL |
| Dermatology Life Quality Index (Scale from: 0 to 30) | ||||||||||||
| 5 | Randomized trials | Not serious | Not serious | Not serious | Not serious | None | 899 | 324 | – | MD 1.92 fewer (2.68 fewer to 1.16 fewer) | ⊕⊕⊕⊕ High | CRITICAL |
| Safety outcomes | ||||||||||||
| 10 | Randomized trials | Not serious | Not serious | Not serious | Not serious | None | 1929/11,528 (16.7%) | 1128/7405 (15.2%) | OR 1.21 (1.09–1.34) | 3 more per 100 (from 1 more to 4 more) | ⊕⊕⊕⊕ High | CRITICAL |
CI: confidence interval; MD: mean difference; OR: odds ratio.
HS is a chronic inflammatory skin disease that is difficult to manage, which has led to the use of many different therapeutic tools.1 Few drugs have been approved with a specific indication for HS, and few randomized clinical trials have been conducted.4 Since RCTs with anti-IL17 for the management of HS are recent, there are no comparisons on the results of all newer clinical trials with anti-IL17.10–12,17 We presented this updated meta-analysis of randomized placebo-controlled clinical trials of anti-IL17 treatment in moderate-to-severe HS.
We show that anti-IL17 biologic drugs are effective treatments with a tolerable safety profile in moderate-to-severe HS, which is supported by a higher percentage of patients achieving HiSCR (even HiSCR75, but not HiSCR90), a reduction in DLQI and an increase in adverse events only at the expense of infections and infestations, particularly candidiasis, with no significant differences with placebo in terms of the number of patients experiencing adverse effects, serious adverse events, headache, development of inflammatory bowel disease or discontinuation of treatment. The analysis of HiSCR across different weeks shows the efficacy profile and the speed of anti-IL17, because this efficacy is significant from week 2, allowing early improvement of this disease.
IL-17 is one of the key proinflammatory cytokines in some inflammatory skin diseases, such as psoriasis and HS.18 There are 6 members of the IL-17 family, from A to F, with IL-17A, IL-17C and IL-17F being the most associated with autoinflammatory diseases.9,18
Secukinumab is an IL-17A neutralizing monoclonal antibody. Its identical clinical trials SUNSHINE and SUNRISE have shown efficacy in moderate-to-severe HS, although in the SUNSHINE trial the group on secukinumab every 4 weeks did not reach the endpoint.11
The monoclonal antibody CJM112 has a similar therapeutic target compared to secukinumab.17 A network meta-analysis19 positions secukinumab as second-line therapy only after adalimumab, and CJM112 as the 4th best option, according to the surface under the cumulative ranking curve (SUCRA).
Bimekizumab is a dual-acting monoclonal antibody that blocks IL-17A and IL-17F. Its clinical trials BE HEARD I and BE HEARD II12 show its efficacy profile for the management of moderate-to-severe HS. This efficacy had already been observed in a previous clinical trial.10
The main clinical trials, SUNSHINE and SUNRISE for secukinumab11 and BE HEARD I and BE HEARD II for bimekizumab12 included patients with moderate-to-severe HS as defined by ≥5 inflammatory lesions at ≥2 anatomical sites for, at least, 1 year in the secukinumab trials and 6 months in the bimekizumab trials. Nonetheless, it was mandatory for bimekizumab trials that patients should have been on prior systemic antibiotic treatment or have a contraindication to it. In these trials, having 20 or more sinus tracts was an exclusion criterion.
In BE HEARD I and BE HEARD II trials,12 randomization was stratified according to Hurley (II or III, as Hurley I was not included in the trials) and the use or non-use of antibiotics at that time (antibiotic strata vs non-antibiotic strata).
During the SUNSHINE and SUNRISE trials,11 the use of systemic antibiotics, intralesional corticosteroids or drainage was allowed in case of acute flare-ups, whereas it was prohibited in the bimekizumab trials, which means that the BE HEARD I and BE HEARD II12 clinical trials better isolated the effect of the drug.
These 4 clinical trials share the primary efficacy endpoint of HiSCR by week 16. HiSCR was calculated based on the number of abscesses (fluctuating and purulent mass with a diameter of >10mm), inflammatory nodules, and draining fistulae.
However, other HiSCR-related endpoints of interest, such as HiSCR75, HiSCR90, and HiSCR100, were only reported in BE HEARD I and BE HEARD II,12 while those of secukinumab were not.
Our meta-analysis shows that twice as many patients on anti-IL17 achieve HiSCR vs placebo, a significant result since week 2, demonstrating its speed. More than twice as many patients achieve HiSCR75 when on bimekizumab vs placebo, with no significant differences achieving a HiSCR90 response, which shows the efficacy profile of these drugs, but how far we still are from the responses observed with biologic drugs in psoriasis.20 Research into biomarkers to predict the therapeutic response of patients would be of great clinical interest, with the aim of achieving the HiSCR90 response that anti-IL17 has not been shown to achieve in this study.
Regarding DLQI, a drop of 2 points on average is observed with anti-IL17 vs placebo, indicating that it improves the quality of life of patients with HS, although comparison could only be drawn with bimekizumab12 and CJM112.17
More adverse effects were observed when using these biological treatments, mainly due to an increase in infections and infestations, particularly Candida; however, it did not lead to a significant increase in treatment withdrawal. Since the Th17 pathway is important as an antifungal immune mechanism,21 this is an adverse effect already known in psoriatic patients,22 especially with bimekizumab,23 also in patients with HS.24
The RoB was low, except for the clinical trial with CJM112. The sensitivity analyses of all variables discussed (Supplementary file 5) excluded the CJM112 study and maintained the significant differences and their sizes with respect to HiSCR and DLQI. The main change was no significant differences regarding the rate of infections in general and infestations, but it does for candidiasis.
Certainty analysis using the GRADE system was high certainty for HiSCR, DLQI and safety outcomes.
In a meta-analysis of clinical trials on adalimumab in HS,7 only its weekly administration proved to be effective vs placebo, with a similar clinical response to HiSCR as anti-IL17, but without data on HiSCR75 OR, HiSCR90. The improvement in DLQI, significant for adalimumab only in weekly administration, was lower in that meta-analysis than with anti-IL17 in ours. Regarding the safety profile, they did not report a significant increase in adverse events with adalimumab, including infections vs placebo. However, most outcomes compared in that meta-analysis were the ones reported on week 12.7
LimitationsAmong the limitations, we highlight mainly that only 6 clinical trials have been included. We also found as a limitation the lack of more studies that included variables such as IHS4 or DLQI, either because these variables were not shown in more than 1 study or because they were detailed in a non-comparable manner. Variables HiSCR75 or HiSCR90 only included clinical trials with bimekizumab because they were the only trials that reported it. The safety results were homogenized, being up to week 12 for the Glatt et al.10 study and up to week 16 in the other.11,12,17 In addition, we believe that well-designed real-world clinical practice studies should be conducted to obtain long-term safety and efficacy data and the impact on out patients’ quality of life.
ConclusionsIn our systematic review and meta-analysis, treatment with anti-IL17 biologic drugs in patients with HS is effective in achieving an improvement of the disease from week 2, and the quality of life vs placebo. Based on results from a separate analyses, it seems that bimekizumab could be a more effective treatment but with a worse safety profile, with a higher rate of candidiasis, which means that patients on this treatment should be monitored for the risk of candida infections. In addition, we believe that well-designed real-world clinical practice studies should be conducted to obtain long-term safety and efficacy data.
Conflict of interestThe authors declare that they have no conflict of interest.














